工程案例

为企业微电网提供能效管理和用电安全解决方案

浅谈变电站区域充电桩运行协调自动控制的方法与研究

责任编辑:安科瑞潘丽:18706168052 阅读量: 发表时间:2025-01-23 15:15
0

 

关键词:无线传感器;变电站区域;充电桩;自动控制

1引言

电动汽车的发展能有效解决能源危机问题,其充电方式为充电桩,海量电动汽车的无序充电,导致变电站区域出现峰+峰的问题叫,明显提升变电站区域的网损,降低电能质量,为解决这一系列的问题,需研究充电桩控制方法,实现削峰填谷,降低网损,提升供电质量[2]。例如,以用户需求与利益为目标函数,建立充电桩控制模型,利用莫楞贝突变遗传算法,求解该模型,获取充电桩控制方案,该方法可有效避免变压器过载,降低用户充电成本[3]。根据电动汽车的储能容量与充电需求,对充电桩进行合理调控,该方法可有效抑制负荷波动,具备削峰填谷功能。但这两种方法均未考虑充电桩的三相不平衡问题,影响供电质量,且无法实时采集充电桩的运行信息,导致运维人员不能实时了解充电桩的运行情况,影响充电桩控制效果。无线传感器具备较优的信息采集与传输功能,可实时采集目标的运行信息。为此,研究变电站区域充电桩运行协调自动控制方法,合理协调自动控制充电桩。

2变电站区域充电桩运行协调自动控制

2.1无线传感器在变电站区域的部署方法

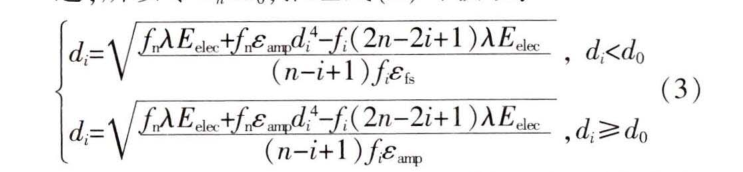
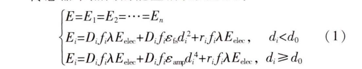
利用基于能量均衡的无线传感器在变电站区域中的部署方法,部署无线传感器,用于采集变电站区域充电桩运行信息。令变电站区域充电桩的第i个采集节点为C(i=1,2,,n),i的传输距离为d;节点i与节点i-1之间的中继节点与数量为gi,m;因为g.和节点i转发的充电桩运行信息一致,所以gi的传输距离也是d;节点i与节点i-1间的距离为Ri。令各节点一个周期中生成了k比特的充电桩运行信息,那么i发送的充电桩运行信息为D=(n-i)k,i接收的充电桩运行信息为r=(n-i+1)k。在归定时间内,令全部无线传感器节点消耗的能量一致,其能量使用结束时间大致相同,达到无线传感器网络能量消耗均衡的目的,无线传感器节点间的能量消耗关系为:

浅谈变电站区域充电桩运行协调自动控制的方法与研究

式中:Eele为在发射电路过程中,无线传感器节点损耗的能量;E为无线传感器节点全生命周期内的损耗能量;入为修正系数;f.为无线传感器节点采集充电桩运行信息的频率;do为传输距离阈值;8为在d

根据式(1)

可获取:

浅谈变电站区域充电桩运行协调自动控制的方法与研究

因为与sink节点距离越远,采集节点的d,越远,所以令d

浅谈变电站区域充电桩运行协调自动控制的方法与研究

在已知d,情况下,能够利用式(3)获取无线传感器采集节点的d,按照式(4)可获取gi的数量

浅谈变电站区域充电桩运行协调自动控制的方法与研究因为m;为整数,所以m向上取整,按照无线传感器生命周期原理,获取无线传感器网络生命周期为:

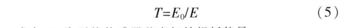
浅谈变电站区域充电桩运行协调自动控制的方法与研究式中:E。为无线传感器节点初始损耗能量。利用无线传感器数量描绘无线传感器网络的总成本,无线传感器网络效率为:

浅谈变电站区域充电桩运行协调自动控制的方法与研究=1以*大化P为目标函数,寻找*优的无线传感器中继节点部署方案。无线传感器在变电站区域的部署步骤如下:步骤①:遍历dn,d,由d扩展至Rn,每次扩展数量为1,若dn>Rn,那么继续步骤①;反之,继续步骤②;步骤②:利用式(3)计算获取(di,d2,,d);步骤③:通过式(4)计算获取(m1,m²,,mil;步骤④:通过式(2)计算获取E;步骤③:利用式(5)计算获取T;步骤③:由式(6)计算获取P;步骤①:以最大P值,对应的中继节点数量与传输距离,为变电站区域中*优的无线传感器部署方案,利用*优无线传感器部署方案,采集变电站区域充电桩运行信息

2.2变电站区域充电桩运行协调自动控制模型

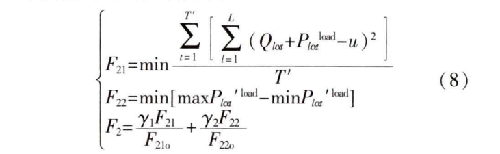
依据第2.1节采集的变电站区域充电桩运行信息,建立以最小网损与三相不平衡度,以及最小变电站区域负荷波动与峰谷差为目标函数的充电桩运行协调自动控制模型。令变电站区域内充电桩数量为L;控制总时段为T";最小网损与三相不平衡度的充电桩运行协调自动控制目标函数为:

浅谈变电站区域充电桩运行协调自动控制的方法与研究

式中:l为充电桩编号;Pald为t时段,α相,l的负荷;Pa,Pa,P,P为直流侧连接、未连接母线时,单、三相充电桩的有功功率。最小负荷波动值与峰谷差的充电桩运行协调自动控制目标函数为:

浅谈变电站区域充电桩运行协调自动控制的方法与研究

F2=min[maxPia'lad_F20式中:F2为负荷波动;F为峰谷差;Qia为α相,t时段,l的充电功率;u为日负荷均值;Pianload为修正后的常规负荷;1,2为F2与F2z的加权系数,1+2=1;F2loF2为原始变电站区域负荷相应的负荷波动值与峰谷差。2.3充电桩运行协调自动控制模型约束条件F的约束条件如下:令各充电桩中包含4个触点,记作触点1、触点2、触点3、触点4,单、三相充电桩空开状态为Kia,Kia;在Kial=0情况下,代表单相充电桩触点3,4闭合,触点1,2断开,直流侧连接母线时,单相充电桩功率约束为:

浅谈变电站区域充电桩运行协调自动控制的方法与研究

直流侧连接母线时,三相充电桩的功率约束为:不平衡度,以及最小负荷波动值与峰谷差为粒子的位置,粒子位置与速度的更新公式如下:

浅谈变电站区域充电桩运行协调自动控制的方法与研究

变电站区域充电桩运行协调自动控制模型求解的具体步骤如下:步骤①:种群初始化;步骤②:求解适应度子,根据式(7)与式(8)求解子,各个体子的值均有4个,分别为网损、三相不平衡度、负荷波动与峰谷差,个体需符合的约束条件为式(9)~(17)与式(19),存储A,与G;步骤③:更新种群,利用式(20)更新x,与s,全局最佳粒子ybst为非劣解集内任意选择的粒子;步骤④:更新个体最佳粒子ybest,按照新粒子ynew与yhesr的支配关系,更新Yies;步骤③:筛选非劣解集0,融合新旧非劣解集Onew与Oald,获取新的O',按照O'内力的支配关系,获取新的非劣解集,存储非劣解的位置;步骤③:利用式(20)更新x与V;步骤①:分析x是否大于限值,若大于限值,则返回步骤③;反之,输出支配解,即最小网损与三相不平衡度,以及最小负荷波动与峰谷差,对应的变电站区域充电桩运行协调自动控制方案。

2.3实验分析

以某变电站区域充电桩为实验对象,该变电站区域内共包含4个单相充电桩,接入相分别为a,b,b,c;28个三相充电桩。利用该方法对该变电站区域充电桩运行展开协调自动控制,验证该方法协调自动控制的可行性。分析不同无线传感器节点数量,以及在不同节点距离时,该方法采集充电桩运行信息的能量均衡性,分析结果见图1。

浅谈变电站区域充电桩运行协调自动控制的方法与研究

由图1可知,随着无线传感器节点数量的增加,该方法采集充电桩运行信息的无线传感器网络生命周期呈下降趋势;随着传输距离的增长,生命周期也呈下降趋势,即传输距离越大,生命周期越小;在无线传感器节点数量为5个,传输距离为350m左右时,生命周期降至0s,此时无线传感器节点的能量消耗完毕;在无线传感器节点数量为10个,传输距离为300m左右时,生命周期降至0s,此时无线传感器节点的能量消耗完毕;在无线传感器节点数量为15个,传输距离为250m左右时,生命周期降至0s,此时无线传感器节点的能量消耗完毕;综合分析可知,无线传感器节点为5,10,15个时,最佳传输距离分别为350m,300m,250m,此时无线传感器节点能量消耗完毕,可有效防止出现能量空洞,实现无线传感器网络采集充电桩运行信息时的能量均衡。利用该方法采集该变电站区域充电桩运行信息,以典型日充电桩的三相有功功率为例,采集结果如图2所示。由图2可知,该方法可有效采集该

变电站区域充电桩的三相有功功率,为后续充电桩运行协调自动控制提供数据支持。实验证明:该方法可有效采集变电站区域充电桩的运行信息。利用该方法对该变电站区域充电桩的运行展开协调自动控制,协调自动控制后充电桩的三相有功功率、电压与负荷如图3所示。

浅谈变电站区域充电桩运行协调自动控制的方法与研究

充电桩交流网损、直流网损、三相电压不平衡度、三相电流不平衡度与峰谷差如表1所示,正常充电桩电压波动区间为0.95pu~1.1pu。

浅谈变电站区域充电桩运行协调自动控制的方法与研究

综合分析图3与表1可知,应用该方法协调自动控制充电桩的运行后,可有效令充电桩可有效令充电桩三相有功功率大致重合,解决三相不平衡问题;在不同时刻,充电桩的最小电压波动区间为0.95pu~1pu之间,并未低于正常电压波动的*低值,最大电压波动区间为1pu~1.06pu之间,并未超过正常电压波动的最高值,说明应用该方法协调自动控制后,充电桩电压始终控制在正常区间以内;在8:00~18:00之间充电桩负荷处于低谷期,00:00~7:00,19:00~24:00之间,充电桩负荷处于高峰期,应用该方法控制后,充电桩负荷波动明显低于控制前,且峰谷差明显下降。应用该方法控制后,充电桩网损、三相不平衡度、峰谷差均明显下降,说明该方法可有效协调自动控制充电桩的运行,降低网损、负荷波动与峰谷差,改善三相不平衡度。

3安科瑞充电桩收费运营云平台系统选型方案

3.1概述

AcrelCloud-9000安科瑞充电柱收费运营云平台系统通过物联网技术对接入系统的电动电动自行车充电站以及各个充电整法行不间断地数据采集和监控,实时监控充电桩运行状态,进行充电服务、支付管理,交易结算,资要管理、电能管理,明细查询等。同时对充电机过温保护、漏电、充电机输入/输出过压,欠压,绝缘低各类故障进行预警;充电桩支持以太网、4G或WIFI等方式接入互联网,用户通过微信、支付宝,云闪付扫码充电。

3.2应用场所

适用于民用建筑、一般工业建筑、居住小区、实业单位、商业综合体、学校、园区等充电桩模式的充电基础设施设计。

3.3系统结构

浅谈变电站区域充电桩运行协调自动控制的方法与研究

系统分为四层:

1)即数据采集层、网络传输层、数据层和客户端层。

2)数据采集层:包括电瓶车智能充电桩通讯协议为标准modbus-rtu。电瓶车智能充电桩用于采集充电回路的电力参数,并进行电能计量和保护。

3)网络传输层:通过4G网络将数据上传至搭建好的数据库服务器。

4)数据层:包含应用服务器和数据服务器,应用服务器部署数据采集服务、WEB网站,数据服务器部署实时数据库、历史数据库、基础数据库。

5)应客户端层:系统管理员可在浏览器中访问电瓶车充电桩收费平台。终端充电用户通过刷卡扫码的方式启动充电。

小区充电平台功能主要涵盖充电设施智能化大屏、实时监控、交易管理、故障管理、统计分析、基础数据管理等功能,同时为运维人员提供运维APP,充电用户提供充电小程序。

3.4安科瑞充电桩云平台系统功能

3.4.1智能化大屏

智能化大屏展示站点分布情况,对设备状态、设备使用率、充电次数、充电时长、充电金额、充电度数、充电桩故障等进行统计显示,同时可查看每个站点的站点信息、充电桩列表、充电记录、收益、能耗、故障记录等。统一管理小区充电桩,查看设备使用率,合理分配资源。

浅谈变电站区域充电桩运行协调自动控制的方法与研究

3.4.2实时监控

实时监视充电设施运行状况,主要包括充电桩运行状态、回路状态、充电过程中的充电电量、充电电压电流,充电桩告警信息等。

浅谈变电站区域充电桩运行协调自动控制的方法与研究

3.4.3交易管理

平台管理人员可管理充电用户账户,对其进行账户进行充值、退款、冻结、注销等操作,可查看小区用户每日的充电交易详细信息。

浅谈变电站区域充电桩运行协调自动控制的方法与研究

3.4.4故障管理

设备自动上报故障信息,平台管理人员可通过平台查看故障信息并进行派发处理,同时运维人员可通过运维APP收取故障推送,运维人员在运维工作完成后将结果上报。充电用户也可通过充电小程序反馈现场问题。

浅谈变电站区域充电桩运行协调自动控制的方法与研究

3.4.5统计分析

通过系统平台,从充电站点、充电设施、、充电时间、充电方式等不同角度,查询充电交易统计信息、能耗统计信息等。

浅谈变电站区域充电桩运行协调自动控制的方法与研究

3.4.6基础数据管理

在系统平台建立运营商户,运营商可建立和管理其运营所需站点和充电设施,维护充电设施信息、价格策略、折扣、优惠活动,同时可管理在线卡用户充值、冻结和解绑。浅谈变电站区域充电桩运行协调自动控制的方法与研究

3.4.7运维APP

面向运维人员使用,可以对站点和充电桩进行管理、能够进行故障闭环处理、查询流量卡使用情况、查询充电充值情况,进行远程参数设置,同时可接收故障推送

浅谈变电站区域充电桩运行协调自动控制的方法与研究浅谈变电站区域充电桩运行协调自动控制的方法与研究

3.4.8充电小程序

面向充电用户使用,可查看附近空闲设备,主要包含扫码充电、账户充值,充电卡绑定、交易查询、故障申诉等功能。

浅谈变电站区域充电桩运行协调自动控制的方法与研究浅谈变电站区域充电桩运行协调自动控制的方法与研究

3.5系统硬件配置

类型

型号

图片

功能

安科瑞充电桩收费运营云平台

AcrelCloud-9000

浅谈变电站区域充电桩运行协调自动控制的方法与研究

安科瑞响应节能环保、绿色出行的号召,为广大用户提供慢充和快充两种充电方式壁挂式、落地式等多种类型的充电桩,包含智能7kW交流充电桩,30kW壁挂式直流充电桩,智能60kW/120kW直流一体式充电桩等来满足新能源汽车行业快速、经济、智能运营管理的市场需求,提供电动汽车充电软件解决方案,可以随时随地享受便捷安全的充电服务,微信扫一扫、微信公众号、支付宝扫一扫、支付宝服务窗,充电方式多样化,为车主用户提供便捷、安全的充电服务。实现对动力电池快速、安全、合理的电量补给,能计时,计电度、计金额作为市民购电终端,同时为提高公共充电桩的效率和实用性。

互联网版智能交流桩

AEV-AC007D

浅谈变电站区域充电桩运行协调自动控制的方法与研究

额定功率7kW,单相三线制,防护等级IP65,具备防雷

保护、过载保护、短路保护、漏电保护、智能监测、智能计量、远程升级,支持刷卡、扫码、即插即用。

通讯方:4G/wifi/蓝牙支持刷卡,扫码、免费充电可选配显示屏

互联网版智能直流桩

AEV-DC030D

浅谈变电站区域充电桩运行协调自动控制的方法与研究

额定功率30kW,三相五线制,防护等级IP54,具备防雷保护、过载保护、短路保护、漏电保护、智能监测、智能计量、恒流恒压、电池保护、远

程升级,支持刷卡、扫码、即插即用

通讯方式:4G/以太网

支持刷卡,扫码、免费充电

互联网版智能直流桩

AEV-DC060S

浅谈变电站区域充电桩运行协调自动控制的方法与研究

额定功率60kW,三相五线制,防护等级IP54,具备防雷保护、过载保护、短路保护、漏电保护、智能监测、智能计量、恒流恒压、电池保护、远程升级,支持刷卡、扫码、即插即用

通讯方式:4G/以太网

支持刷卡,扫码、免费充电

互联网版智能直流桩

AEV-DC120S

浅谈变电站区域充电桩运行协调自动控制的方法与研究

额定功率120kW,三相五线制,防护等级IP54,具备防雷保护、过载保护、短路保护、漏电保护、智能监测、智能计量、恒流恒压、电池保护、远程升级,支持刷卡、扫码、即插即用

通讯方式:4G/以太网

支持刷卡,扫码、免费充电

10路电瓶车智能充电桩

ACX10A系列

浅谈变电站区域充电桩运行协调自动控制的方法与研究

10路承载电流25A,单路输出电流3A,单回路功率1000W,总功率5500W。充满自停、断电记忆、短路保护、过载保护、空载保护、故障回路识别、远程升级、功率识别、独立计量、告警上报。

ACX10A-TYHN:防护等级IP21,支持投币、刷卡,扫码、免费充电

ACX10A-TYN:防护等级IP21,支持投币、刷卡,免费充电

ACX10A-YHW:防护等级IP65,支持刷卡,扫码,免费充电

ACX10A-YHN:防护等级IP21,支持刷卡,扫码,免费充电

ACX10A-YW:防护等级IP65,支持刷卡、免费充电

ACX10A-MW:防护等级IP65,仅支持免费充电

2路智能插座

ACX2A系列

浅谈变电站区域充电桩运行协调自动控制的方法与研究

2路承载电流20A,单路输出电流10A,单回路功率2200W,总功率4400W。充满自停、断电记忆、短路保护、过载保护、空载保护、故障回路识别、远程升级、功率识别,报警上报。

ACX2A-YHN:防护等级IP21,支持刷卡、扫码充电

ACX2A-HN:防护等级IP21,支持扫码充电

ACX2A-YN:防护等级IP21,支持刷卡充电

20路电瓶车智能充电桩

ACX20A系列

浅谈变电站区域充电桩运行协调自动控制的方法与研究

20路承载电流50A,单路输出电流3A,单回路功率1000W,总功率11kW。充满自停、断电记忆、短路保护、过载保护、空载保护、故障回路识别、远程升级、功率识别,报警上报。

ACX20A-YHN:防护等级IP21,支持刷卡,扫码,免费充电

ACX20A-YN:防护等级IP21,支持刷卡,免费充电

落地式电瓶车智能充电桩

ACX10B系列

浅谈变电站区域充电桩运行协调自动控制的方法与研究

10路承载电流25A,单路输出电流3A,单回路功率1000W,总功率5500W。充满自停、断电记忆、短路保护、过载保护、空载保护、故障回路识别、远程升级、功率识别、独立计量、告警上报。

ACX10B-YHW:户外使用,落地式安装,包含1台主机及5根立柱,支持刷卡、扫码充电,不带广告屏

ACX10B-YHW-LL:户外使用,落地式安装,包含1台主机及5根立柱,支持刷卡、扫码充电。液晶屏支持U盘本地投放图片及视频广告

智能边缘计算网关

ANet-2E4SM

浅谈变电站区域充电桩运行协调自动控制的方法与研究

4路RS485串口,光耦隔离,2路以太网接口,支持ModbusRtu、ModbusTCP、DL/T645-1997、DL/T645-2007、CJT188-2004、OPCUA、ModbusTCP(主、从)、104(主、从)、建筑能耗、SNMP、MQTT;(主模块)输入电源:DC12V~36V。支持4G扩展模块,485扩展模块。

扩展模块ANet-485

M485模块:4路光耦隔离RS485

扩展模块ANet-M4G

M4G模块:支持4G全网通

导轨式单相电表

ADL200

浅谈变电站区域充电桩运行协调自动控制的方法与研究

单相电参量U、I、P、Q、S、PF、F测量,输入电流:10(80)A;

电能精度:1级

支持Modbus和645协议

证书:MID/CE认证

导轨式电能计量表

ADL400

浅谈变电站区域充电桩运行协调自动控制的方法与研究

三相电参量U、I、P、Q、S、PF、F测量,分相总有功电能,总正反向有功电能统计,总正反向无功电能统计;红外通讯;电流规格:经互感器接入3×1(6)A,直接接入3×10(80)A,有功电能精度0.5S级,无功电能精度2级

证书:MID/CE认证

无线计量仪表

ADW300

浅谈变电站区域充电桩运行协调自动控制的方法与研究

三相电参量U、I、P、Q、S、PF、F测量,有功电能计量(正、反向)、四象限无功电能、总谐波含量、分次谐波含量(2~31次);A、B、C、N四路测温;1路剩余电流测量;支持RS485/LoRa/2G/4G/NB;LCD显示;有功电能精度:0.5S级(改造项目)

证书:CPA/CE认证

导轨式直流电表

DJSF1352-RN

浅谈变电站区域充电桩运行协调自动控制的方法与研究

直流电压、电流、功率测量,正反向电能计量,复费率电能统计,SOE事件记录:8位LCD显示:红外通讯:电压输入*大1000V,电流外接分流器接入(75mV)或霍尔元件接入(0-5V);电能精度1级,1路485通讯,1路直流电能计量AC/DC85-265V供电

证书:MID/CE认证

面板直流电表

PZ72L-DE

浅谈变电站区域充电桩运行协调自动控制的方法与研究

直流电压、电流、功率测量,正反向电能计量:红外通讯:电压输入*大1000V,电流外接分流器接入·(75mV)或霍尔元件接入(0-20mA0-5V);电能精度1级

证书:CE认证

电气防火限流式保护器

ASCP200-63D

浅谈变电站区域充电桩运行协调自动控制的方法与研究

导轨式安装,可实现短路限流灭弧保护、过载限流保护、内部超温限流保护、过欠压保护、漏电监测、线缆温度监测等功能;1路RS485通讯,1路NB或4G无线通讯(选配);额定电流为0~63A,额定电流菜单可设。

开口式电流互感器

AKH-0.66/K

浅谈变电站区域充电桩运行协调自动控制的方法与研究

AKH-0.66K系列开口式电流互感器安装方便,无须拆一次母线,亦可带电操作,不影响客户正常用电,可与继电器保护、测量以及计量装置配套使用。

霍尔传感器

AHKC

浅谈变电站区域充电桩运行协调自动控制的方法与研究

霍尔电流传感器主要适用于交流、直流、脉冲等复杂信号的隔离转换,通过霍尔效应原理使变换后的信号能够直接被AD、DSP、PLC、二次仪表等各种采集装置直接采集和接受,响应时间快,电流测量范围宽精度高,过载能力强,线性好,抗干扰能力强。

智能剩余电流继电器

ASJ

浅谈变电站区域充电桩运行协调自动控制的方法与研究

该系列继电器可与低压断路器或低压接触器等组成组合式的剩余电流动作保护器,主要适用于交流50Hz,额定电压为400V及以下的TT或TN系统配电线路,防止接地故障电流引起的设备和电气火灾事故,也可用于对人身触电危险提供间接接触保护。

4结论与展望

电动汽车有效解决了能源和环境危机问题,电动汽车的电能补给站是充电桩,因此充电桩属于一种新的负荷类型,灵活性较强,充电桩的大范围使用,导致电网存在峰+峰的冲击,还会导致局部停电,为此,研究一种变电站区域充电桩运行协调自动控制方法,合理控制充电桩运行,降低网损与负荷波动,缓解电网调峰压力。

参考文献:

[1]曲大鹏,范晋衡,刘琦颖,等.考虑配电网综合运行风险的充电桩接纳能力评估与优化[J].电力系统保护与控制,2022,50(3):131-139.

[2]胡金迪,刘思,沈广,等.基于端对端通信的充电桩无功响应分布式模型预测控制策略[J].电力系统自动化,2022,46(4):25-35.

[3]程江洲,王劲峰,黄悦华,等.基于用户需求的居民小区电动汽车充放电优化控制策略[J].可再生能源,2019,37(11):1637-1642.

[4]安科瑞企业微电网设计与应用手册.2022.05版

[5]胡学忠,颉飞翔,叶明锋,李娟.变电站区域充电桩运行协调自动控制方法研究

江苏安科瑞电器制造有限公司是安科瑞电气股份有限公司[股票代码:300286.SZ]设在江苏江阴的生产基地,在智能电力仪表行业中采用无铅生产工艺、自动化生产检测设备;...

联系我们

地址:江苏省江阴市南闸东盟工业园区东盟路5号

电话:18706168052

邮箱:panli@email.acrel.cn

关注我们

友情链接: 江苏安科瑞官网 | 江苏安科瑞微电网研究院有限公司 | 微电网能量管理事业部

Copyright © 江苏安科瑞电器制造有限公司 备案号:苏ICP备08106144号-150 苏公网安备32028102003368号